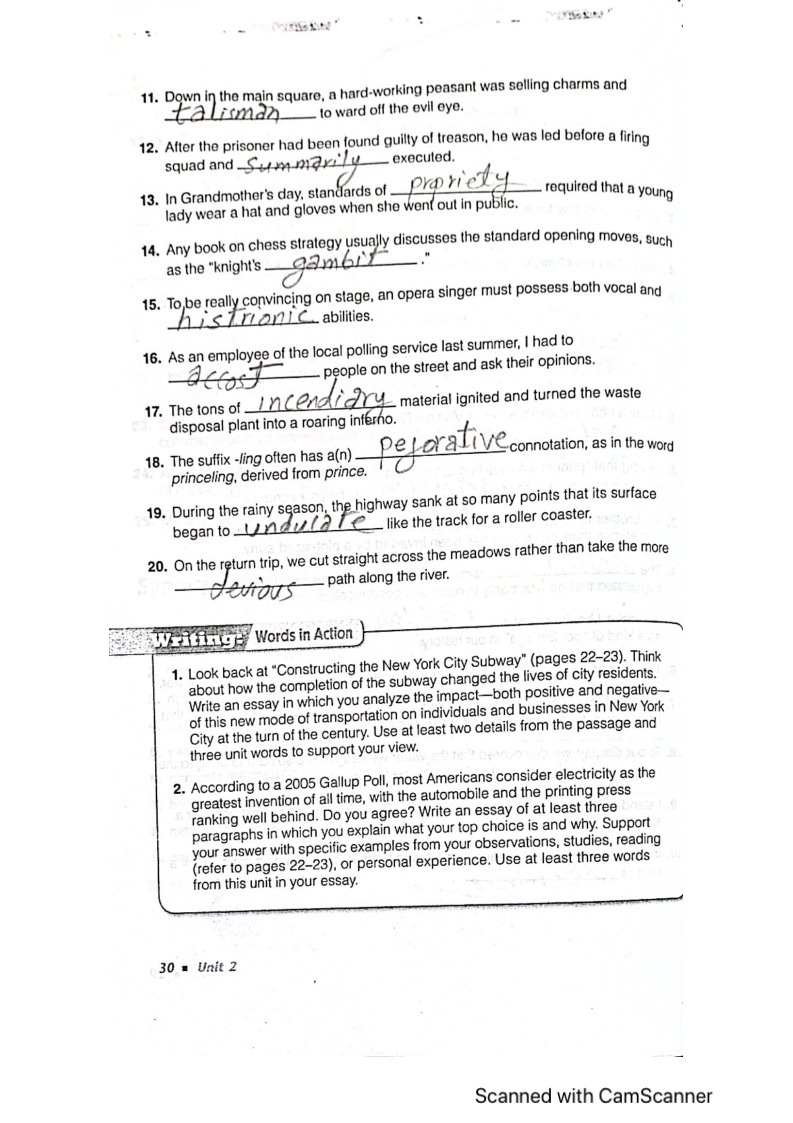
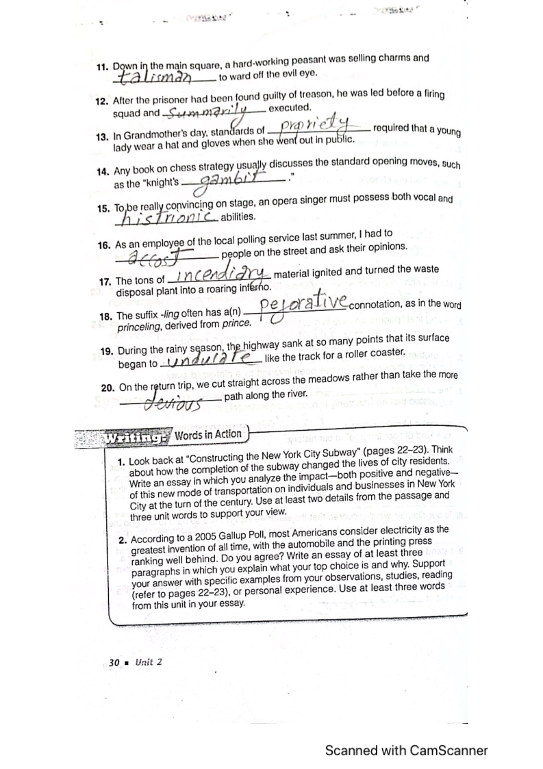
Sadlier Vocabulary Workshop is a comprehensive program designed to help students improve their vocabulary skills. With a focus on building a strong foundation of words and their meanings, this workshop is perfect for students looking to expand their language skills.
By using a variety of engaging activities and exercises, Sadlier Vocabulary Workshop makes learning new words fun and interactive. Students will not only be able to enhance their vocabulary, but also improve their reading and writing skills.
Sadlier Vocabulary Workshop
One of the key features of Sadlier Vocabulary Workshop is its structured approach to learning. The program is divided into different levels, each focusing on a specific set of words and concepts. This allows students to progress at their own pace and build upon their knowledge step by step.
Another benefit of Sadlier Vocabulary Workshop is its emphasis on practical application. Students are encouraged to use the new words they learn in their everyday writing and conversations, helping to reinforce their understanding and retention of the vocabulary.
Furthermore, Sadlier Vocabulary Workshop provides teachers with resources and tools to track students’ progress and tailor the program to meet their individual needs. This personalized approach ensures that each student receives the support and guidance they need to succeed.
Overall, Sadlier Vocabulary Workshop is a valuable tool for students looking to improve their vocabulary skills and enhance their language abilities. With its engaging activities, structured approach, and emphasis on practical application, this workshop is sure to help students reach their full potential.
In conclusion,
Sadlier Vocabulary Workshop is a top-notch program that provides students with the tools they need to expand their vocabulary and improve their language skills. Whether you are a student looking to enhance your academic performance or a teacher seeking to support your students’ learning, Sadlier Vocabulary Workshop is the perfect resource for you. Try it out today and see the difference it can make!
