Building a strong vocabulary is essential for effective communication and academic success. One of the best resources for improving vocabulary skills is the Vocabulary Workshop Sadlier series. This comprehensive program is designed to help students expand their knowledge of words and enhance their language proficiency.
The Vocabulary Workshop Sadlier series is a popular choice among educators and students alike. The program offers a variety of exercises and activities that are designed to help learners of all levels improve their vocabulary skills. From elementary school to college-level students, Vocabulary Workshop Sadlier provides a structured approach to building and expanding vocabulary.
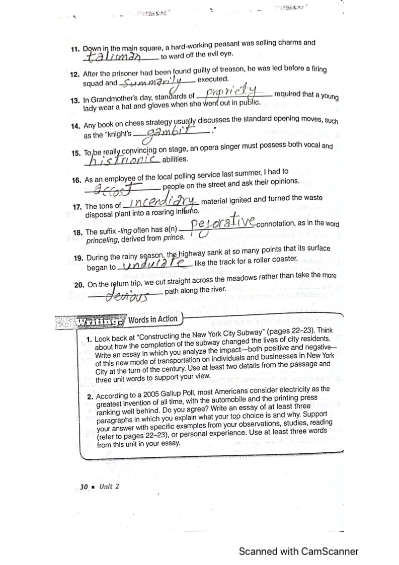
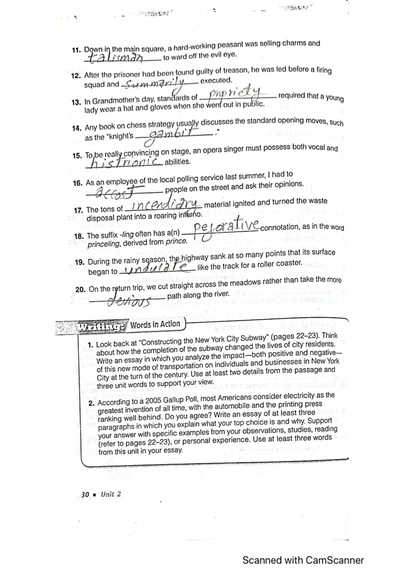
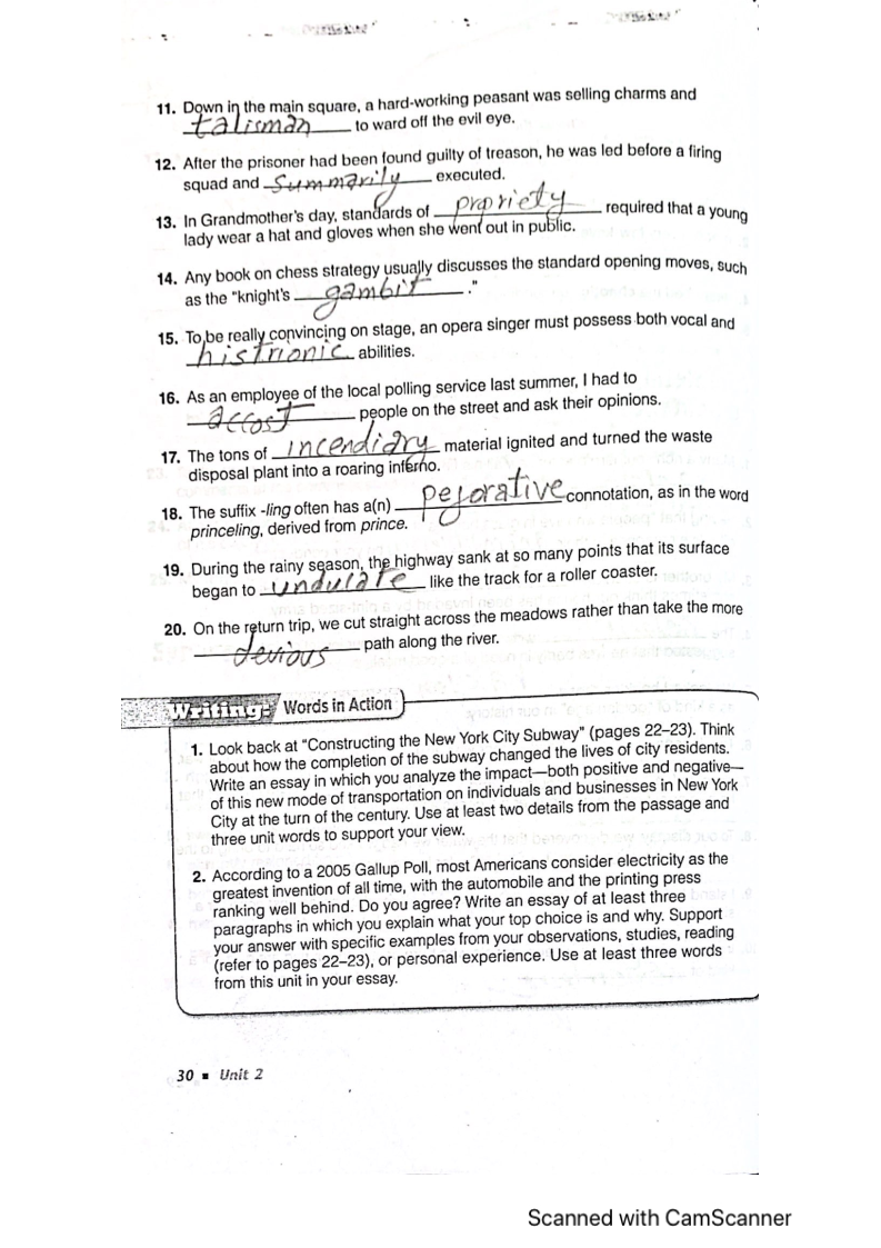
Each book in the Vocabulary Workshop Sadlier series focuses on a specific theme or topic, such as synonyms, antonyms, prefixes, suffixes, and root words. The exercises in the books are carefully crafted to help students understand the meaning and usage of each word, as well as how to apply them in different contexts. By completing the exercises in the Vocabulary Workshop Sadlier books, students can increase their vocabulary and improve their reading and writing skills.
One of the key features of the Vocabulary Workshop Sadlier series is the inclusion of challenging words that are commonly found on standardized tests, such as the SAT and ACT. By familiarizing themselves with these words and their meanings, students can boost their scores on these important exams. Additionally, the Vocabulary Workshop Sadlier books also include tips and strategies for mastering vocabulary skills, making them an invaluable resource for test preparation.
Whether you are a student looking to improve your vocabulary skills or an educator seeking a comprehensive program to enhance your students’ language proficiency, the Vocabulary Workshop Sadlier series is a valuable resource. With its engaging exercises, challenging words, and practical tips, this program can help you achieve your language goals and succeed in your academic endeavors.
Conclusion
Enhancing your vocabulary skills is essential for effective communication and academic success. The Vocabulary Workshop Sadlier series offers a structured and comprehensive approach to building and expanding your vocabulary. By using this program, you can improve your language proficiency, boost your test scores, and achieve your language goals. Start your vocabulary journey with Vocabulary Workshop Sadlier today!
